Dancsó Imre
Háromszög területképlete | Derékszögű háromszög | Egyenlő szárú háromszög | Szabályos háromszög | Hérón-képlet | Trigonometrikus képlet| Tompaszögű háromszög | Mikor melyiket?
A háromszög területe azt mutatja meg, hogy a síkban mekkora területet zár körül a három oldal.


TIPP: Ha nem tudod, mi az a magasságvonal, nézd meg itt:
Háromszög magasságvonala és magasságpontja »
.png)
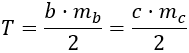
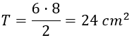
A derékszögű háromszög területét könnyű kiszámítani, mert a két befogó tekinthető a háromszög alapjának és a hozzátartozó magasságnak (hiszen merőlegesek)
ahol a és b a két befogó hossza
💡 Példa: Ha az egyik befogó 6 cm, a másik 8 cm: 
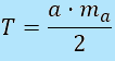
Egyenlő szárú háromszögben gyakran az alap és a szár hosszúsága ismert. Az alaphoz tartozó magasság felezi az alapot, így kapunk egy olyan derékszögű háromszöget, aminek az egyik befogója az alap fele, a másik befogó a magasság és az átfogó a szár. Ekkor Pitagorasz-tétellel a magasság kiszámítható, és használhatjuk a legegyszerűbb képletet.
Van egy nehezen megjegyezhető képlet is:
ahol a az egyenlő szárú háromszög alapja és b az egyenlő szárú háromszög szára.
Ezt a képletet nem érdemes bemagolni. Egyszerűbb, ha használod a fent leírt módszert.
TIPP: Az egyenlőszárú háromszögről bővebben itt:
Egyenlő szárú háromszög »
ahol a jelöli a háromszög oldalát.👉 Bővebben: Szabályos háromszög képletek »



A tompaszögű háromszög területét ugyanúgy számíthatod, mint bármely más háromszögét (alap·magasság/2, Héron-képlet, trigonometrikus területképlet).
Tompaszögű háromszögnél a magasságvonal nem mindig a háromszög belsejébe esik – van, hogy kívülről kell meghúzni, mert csak az oldalak meghosszabbítását metszi.
Mindig készíts ábrát, és írd fel milyen adatokat ismersz. Ezek függvényében általában egyértelmű, hogy melyik képletet kell alkalmazni.
- Ha ismered az alapot, és a hozzá tartozó magasságot, akkor használd a legegyszerűbb képletet.
- Ha ismered mindhárom oldalt, akkor a Hérón-képletet tudod használni.
(De ekkor koszinusztétellel bármelyik szög meghatározható, és akkor számolhatsz a trigonometrikus területképlettel is.)
- Ha adott két oldal hossza, és a közrezárt szög, akkor a trigonometrikus területképlettel kapod meg leggyorsabban az eredményt.
Ha nem a közrezárt szög adott, akkor szinusztétellel kiszámolható a közrezárt szög, és akkor használhatod a trigonometrikus területképletet.
- Ha speciális (egyenlő szárú vagy szabályos) a háromszög, akkor húzd be a magasságot, amit Pitagorasz-tétellel ki is számolhatsz, és használhatod a legegyszerűbb képletet.
👉 További matekos tippek és gyakorlófeladatokért látogass el a Matek Oázisba »
Tanuld meg egyszerűen kiszámolni a háromszög területét! Képletek és példák általános, derékszögű, szabályos, egyenlő szárú háromszögekre. Nézd meg most!
Háromszög területe – képlet
Évvégi Jegyjavító Kihívás
Jobb jegy év végére? NANÁ!
Csatlakozz az Évvégi Jegyjavító Kihíváshoz, javíts a jegyeiden, és szállj versenybe a nyereményekért!
NYERNI AKAROK