KÉRDÉS

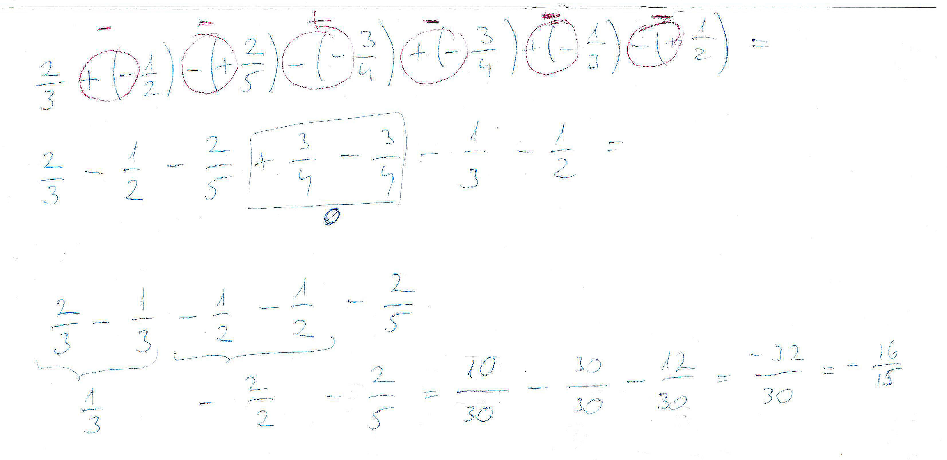
A következő feladat típus magyarázatát keresem 6. osztály 2/3+(-1/2)-(+2/5)-(-3/4)+(-3/4)+(-1/3)-(+1/2) köszönöm

VÁLASZ

Ebben a feladatban a törtekkel és a negatív számokkal kapcsolatban tanultakat is kell alkalmazni. Első lépésként fel kell írni zárójel nélkül. Ahogy a negatív számok összeadásánál volt szó róla, ha két egyforma jelet látsz, vagyis pozitív szám hozzáadása és negatív szám kivonása is összeadást jelent, ha különbözők az előjelek, vagyis negatív szám hozzáadása, vagy pozitív szám kivonása, kivonást jelent. Erről a 6. osztályban a Negatív számok, műveletek részben találsz videót.

tört​​​​​​​

A következő lépésben érdemes észrevenni, hogy +3/4 és -3/4 együtt 0, illetve a tagokat tetszőlegesen lehet csoportosítani, a harmadokat egymás mellé írva elvégezhetjük a műveletet, hasonlóan a kettedeket is egymás mellé írhatjuk.  Aztán a törteknél szokásos módon közös nevezőre hozva elvégezzük a műveleteket, figyelve az előjelekre. A törtek összaadásáról a Törtek / Ismétlés ötödik osztályból részben, a Törtek összeadása, kivonása, ismétlés videóban találsz anyagot.

Vegyes feladatok pedig a fejezet végén, a Racionális számok videóban vannak.